活性炭增进水泥砂浆抗压强度
混凝土一直是比较受欢迎的建筑材料之一,就在最近活性炭作为水泥基复合材料的增强剂突然被更多的人关注了。水蜜桃一二三精品发现活性炭可以增强水泥的耐湿性和减轻潮气侵袭的风险。还测试过活性炭对混凝土气孔特性的影响,了解到活性炭可以减少了混凝土中的空气含量,从而提高了强度。活性炭也可用于改善室内空气质量。含有活性炭作为添加剂的硬化水泥浆也拥有了吸附能力,在挥发性有机化合物(VOC),和有害化合物(例如乙醛和甲苯)的环境中。活性炭粉末能够吸收大部分的甲苯,因此,包含活性炭的硬化水泥浆可作为潜在的建筑材料,有助于提高除污效果。
活性炭水泥砂浆的组成
波特兰水泥(硅酸盐水泥I型和II型)作为基础材料,活性炭采用植物种子转化成。在物理活化过程中,碳化和活化步骤均通过加热完成。制备方法是,先用蒸馏水洗涤和漂洗以除去杂质,在100℃下干燥24小时,然后过筛以控制粒度。然后将制备好的原材料在马弗炉中加热到600℃,持续一个小时。冷却至室温后,将地面洗净,然后再次用去离子水冲洗。并在100℃下干燥48小时,然后使用16号和60号筛分(筛孔分别为1.18和250微米)进行分选。在加热过程中,基础材料的挥发性分子升华,从而在整个过程中留下多孔结构。制备的活性炭储存在密闭瓶中。处理后获得的原材料和活性炭颗粒如图1所示。活化过程形成了蜂窝状的孔结构,导致活性炭中的表面积较大,这可能引起了形态对称现象。

图1:(a)处理后获得的原材料和(b)活性炭,以及(c)原材料和(d)活性炭在500x下的SEM图像。
活性炭水泥抗压强度测试
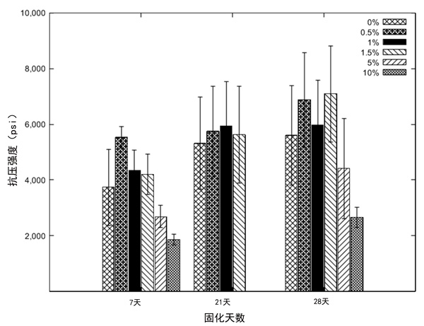
在7天,21天和28天测量立方体样品的抗压强度。每个代表性的抗压强度是十二个样品的平均值。强度的测量是使用混凝土压缩机进行的。根据抗压强度试验结果,由于在7天时测得的强度大大降低,因此未测试21天时5%和10%活性炭的样品。结果证明,普通水泥砂浆的抗压强度随养护时间的增加而增加。在活性炭复合材料样品中也观察到了相同的趋势。没有活性炭的水泥砂浆的7天强度达到28天强度的66%,而0.5%和1%活性炭复合材料的7天强度分别达到28天强度的80%和73%。这意味着低浓度的活性炭可能会加速强度硬化过程。等于或大于1.5%的过量浓度消除了早期强度效应。此外,活性炭的过量含量大于5%导致强度显着降低。添加5%的活性炭会使普通水泥砂浆的7天抗压强度降低28%,而28天抗压强度降低21%。添加10%会使7天强度下降50%,而28天强度下降52%。这些结果表明,大于合适范围的活性炭的掺入会损害普通水泥的强度。在该研究中,观察到增加抗压强度的合适含量范围为0.5%至1.5%。
样品的抗压强度
可视化了水泥砂浆的碳含量显示在图2,强度和重量之间的关系。左图表示强度相对于碳含量的变化,右图表示强度与试样重量的关系。此外,底部的图表显示了碳含量与重量的关系。值得注意的是,添加碳会稍微减少样品的重量。这是因为轻质的活性炭可能会在有限的样品体积中代替相对较重的细骨料或水泥。尽管重量减轻,但与普通水泥砂浆样品相比,碳共混样品显示出更高的强度。
活性炭含量对抗压强度的影响如图3所示。结果表明,随着活性炭掺入量增加到1.5%,水泥砂浆强度增加。添加0.5%的活性炭可将7天强度大幅提高48%,而添加1.5%的活性炭则可将28天强度提高27%。其他研究也报告了类似的结果,表明通过添加活性炭可以提高强度。将4%的活性炭掺入粉煤灰水泥中会使28天的抗压强度提高18%。

活性炭对普通水泥砂浆强度的影响。结果表明,添加小于或等于1.5%(按水泥重量计)的活性炭可提高水泥砂浆的抗压强度。此外,活性炭还可以加速强度硬化过程,从而缩短固化时间。特别是,少量的含量(0.5%)在早期强度有更有意义的提高,而含量较高的(1.5%)在28天时强度有更好的提高。但是,大量的活性炭超过5%会大大降低强度。这项研究得出的结论是,活性炭可以用作潜在的水泥添加剂,以增强水泥砂浆的抗压强度。